Vezérlésrögzítő készlet Renault, Opel, Nissan 1.6 / 2.0 / 2.3 DCI -Láncos
LAS-4936
Vezérlésrögzítő, vezérléspozícionáló szerszámkészlet a Renault 1.6, 2.0, 2.3 DCI lánchajtásos dízelmotorokhoz.
Alkalmas:
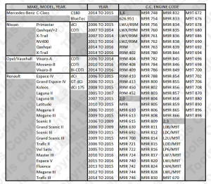
- Renault Megane | Vel Satis | Espace | Scenic | Trafic | Laguna | Koleos
- Nissan Qashqai
- Vauxhall / Opel Vivaro.
Motorkódok:
- 1.6-os: R9M, LWU/R9M, LWX/R9M, LWY/R9M, LWZ/R9M
- 2.0-es: M9R
- 2.3-as: M9T 670 - 898
Célszerszám OEM gyári szám kódok:
- OEM: EN48334, EN48332, EN48331, EN48330
Angliában gyártott célszerszám (Made in Sheffield)
+36 30 948 9232
(165 000 Ft + áfa)
125 000 Ft + áfa
35 000 Ft feletti vásárlás esetén
még 35 000 Ft hiányzik
- Gyártó
- Laser Tools - UK
- Tömeg
- 2.69 Kg
- Méret
- 1.6-2.0-2.3 DCI - Láncos
- Szín
- Ezüst-Fekete
- Anyag
- Acél
- Mennyiségi egység
- klt
(12 500 Ft + áfa)
10 000 Ft + áfa
(17 500 Ft + áfa)
12 000 Ft + áfa
(12 000 Ft + áfa)
9 600 Ft + áfa


















